git命令行拉取代码-git入门
Git 简介
Git 是一种分布式版本控制系统,它可以不受网络连接的限制,加上其它众多优点,目前已经成为程序开发人员做项目版本管理时的首选,非开发人员也可以用 Git 来做自己的文档版本管理工具。
2013年,淘宝前端团队开始全面采用 Git 来做项目管理,我也是那个时候开始接触和使用,从一开始的零接触到现在的重度依赖,真是感叹 Git 的强大。
Git 的 api 很多,但其实平时项目中 90%的需求都只需要用到几个基本的功能即可,所以本文将从 实用主义 和 深入探索 2 个方面去谈谈如何在项目中使用 Git,一般来说,看完 实用主义 这一节就可以开始在项目中动手用。
常用操作
所谓实用主义,就是掌握了以下知识就可以玩转 Git,轻松应对 90%以上的需求。以下是实用主义型的 Git 命令列表,先大致看一下
- git clone
- git config
- git branch
- git checkout
- git status
- git add
- git commit
- git push
- git pull
- git log
- git tag
接下来,将通过对:https://github.com/gafish/gafish.github.com
仓库进行实例操作,讲解如何使用 Git拉取代码到提交代码的整个流程。
git clone
从 git 服务器拉取代码
git clone https://github.com/gafish/gafish.github.com.git
代码下载完成后在当前文件夹中会有一个 gafish.github.com的目录,通过cd gafish.github.com命令进入目录。
git config
配置开发者用户名和邮箱
git config user.name gafishgit config user.email gafish@qqqq.com
每次代码提交的时候都会生成一条提交记录,其中会包含当前配置的用户名和邮箱。
git branch
创建、重命名、查看、删除项目分支,通过 Git做项目开发时,一般都是在开发分支中进行,开发完成后合并分支到主干。
git branch daily/0.0.0
创建一个名为 daily/0.0.0的日常开发分支,分支名只要不包括特殊字符即可。
git branch -m daily/0.0.0 daily/0.0.1
如果觉得之前的分支名不合适,可以为新建的分支重命名,重命名分支名为 daily/0.0.1
git branch
通过不带参数的 branch 命令可以查看当前项目分支列表
git branch -d daily/0.0.1
如果分支已经完成使命则可以通过 -d参数将分支删除,这里为了继续下一步操作,暂不执行删除操作
git checkout
切换分支
git checkout daily/0.0.1
切换到 daily/0.0.1分支,后续的操作将在这个分支上进行
git status
查看文件变动状态
通过任何你喜欢的编辑器对项目中的 README.md文件做一些改动,保存。
git status
通过 git status命令可以看到文件当前状态Changes not staged for commit:(改动文件未提交到暂存区)
1 | On branch daily/0.0.1Changes not staged for commit: (use "git add ..." to update what will be committed) (use "git checkout -- ..." to discard changes in working directory) modified: README.mdno changes added to commit (use "git add" and/or "git commit -a") |
git add
添加文件变动到暂存区
git add README.md
通过指定文件名 README.md 可以将该文件添加到暂存区,如果想添加所有文件可用 git add .命令,这时候可通过 git status 看到文件当前状态 Changes to be committed:(文件已提交到暂存区)
1 | On branch daily/0.0.1Changes to be committed: (use "git reset HEAD ..." to unstage) modified: README.md |
git commit
提交文件变动到版本库
git commit -m ‘这里写提交原因’
通过 -m参数可直接在命令行里输入提交描述文本
git push
将本地的代码改动推送到服务器
git push origin daily/0.0.1
origin指代的是当前的 git 服务器地址,这行命令的意思是把daily/0.0.1分支推送到服务器,当看到命令行返回如下字符表示推送成功了。
Counting objects: 3, done.Delta compression using up to 8 threads.Compressing objects: 100% (2/2), done.Writing objects: 100% (3/3), 267 bytes | 0 bytes/s, done.Total 3 (delta 1), reused 0 (delta 0)remote: Resolving deltas: 100% (1/1), completed with 1 local objects.To https://github.com/gafish/gafish.github.com.git * [new branch] daily/0.0.1 -> daily/0.0.1
现在我们回到 Github 网站的项目首页,点击 Branch:master下拉按钮,就会看到刚才推送的daily/00.1分支了
git pull
将服务器上的最新代码拉取到本地
git pull origin daily/0.0.1
如果其它项目成员对项目做了改动并推送到服务器,我们需要将最新的改动更新到本地,这里我们来模拟一下这种情况。
进入 Github 网站的项目首页,再进入 daily/0.0.1分支,在线对README.md文件做一些修改并保存,然后在命令中执行以上命令,它将把刚才在线修改的部分拉取到本地,用编辑器打开README.md,你会发现文件已经跟线上的内容同步了。
如果线上代码做了变动,而你本地的代码也有变动,拉取的代码就有可能会跟你本地的改动冲突,一般情况下__ Git会自动处理这种冲突合并,但如果改动的是同一行,那就需要手动来合并代码,编辑文件,保存最新的改动,再通过git add .和git commit -m ‘xxx’来提交合并。
git log
查看版本提交记录
git log
通过以上命令,我们可以查看整个项目的版本提交记录,它里面包含了提交人、日期、提交原因等信息,得到的结果如下:
1 | commit c334730f8dba5096c54c8ac04fdc2b31ede7107aAuthor: gafish qqqq.com>Date: Wed Jan 11 09:44:13 2017 +0800 Update README.mdcommit ba6e3d21fcb1c87a718d2a73cdd11261eb672b2aAuthor: gafish qqqq.com>Date: Wed Jan 11 09:31:33 2017 +0800 test..... |
提交记录可能会非常多,按 J键往下翻,按K键往上翻,按Q键退出查看
git tag
为项目标记里程碑
git tag publish/0.0.1git push origin publish/0.0.1
当我们完成某个功能需求准备发布上线时,应该将此次完整的项目代码做个标记,并将这个标记好的版本发布到线上,这里我们以 publish/0.0.1为标记名并发布,当看到命令行返回如下内容则表示发布成功了
1 | Total 0 (delta 0), reused 0 (delta 0)To https://github.com/gafish/gafish.github.com.git * [new tag] publish/0.0.1 -> publish/0.0.1 |
.gitignore
设置哪些内容不需要推送到服务器,这是一个配置文件
touch .gitignore
.gitignore不是Git命令,而在项目中的一个文件,通过设置.gitignore的内容告诉Git哪些文件应该被忽略不需要推送到服务器,通过以上命令可以创建一个.gitignore文件,并在编辑器中打开文件,每一行代表一个要忽略的文件或目录,如:
demo.htmlbuild/
以上内容的意思是 Git将忽略demo.html文件 和build/目录,这些内容不会被推送到服务器上
小结
通过掌握以上这些基本命令就可以在项目中开始用起来了,如果追求实用,那关于 Git的学习就可以到此结束了,偶尔遇到的问题也基本上通过Google也能找到答案,如果想深入探索Git的高阶功能,那就继续往下看深入探索部分。
深入探索
基本概念
工作区(Working Directory)
就是你在电脑里能看到的目录,比如上文中的 gafish.github.com文件夹就是一个工作区
本地版本库(Local Repository)
工作区有一个隐藏目录 .git,这个不算工作区,而是Git的版本库。
暂存区(stage)
本地版本库里存了很多东西,其中最重要的就是称为 stage(或者叫 index)的暂存区,还有Git为我们自动创建的第一个分支master,以及指向master的一个指针叫HEAD。
远程版本库(Remote Repository)
一般指的是 Git服务器上所对应的仓库,本文的示例所在的github仓库就是一个远程版本库
以上概念之间的关系
工作区、暂存区、本地版本库、远程版本库之间几个常用的Git操作流程如下图所示:
分支(Branch)
分支是为了将修改记录的整个流程分开存储,让分开的分支不受其它分支的影响,所以在同一个数据库里可以同时进行多个不同的修改
主分支(Master)
前面提到过 master是Git为我们自动创建的第一个分支,也叫主分支,其它分支开发完成后都要合并到master
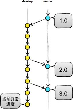
标签(Tag)
标签是用于标记特定的点或提交的历史,通常会用来标记发布版本的名称或版本号(如:publish/0.0.1),虽然标签看起来有点像分支,但打上标签的提交是固定的,不能随意的改动,参见上图中的1.0/2.0/3.0
HEAD
HEAD指向的就是当前分支的最新提交
以上概念了解的差不多,那就可以继续往下看,下面将以具体的操作类型来讲解 Git的高阶用法
操作文件
git add
添加文件到暂存区
git add -i
通过此命令将打开交互式子命令系统,你将看到如下子命令
Commands 1: status 2: update 3: revert 4: add untracked 5: patch 6: diff 7: quit 8: help
通过输入序列号或首字母可以选择相应的功能,具体的功能解释如下:
- status:功能上和git add -i相似,没什么鸟用
- update:详见下方git add -u
- revert:把已经添加到暂存区的文件从暂存区剔除,其操作方式和update类似
- add untracked:可以把新增的文件添加到暂存区,其操作方式和update类似
- patch:详见下方git add -p
- diff:比较暂存区文件和本地版本库的差异,其操作方式和update类似
- quit:退出git add -i命令系统
- help:查看帮助信息
git add -p
直接进入交互命令中最有用的 patch模式
这是交互命令中最有用的模式,其操作方式和 update类似,选择后Git会显示这些文件的当前内容与本地版本库中的差异,然后您可以自己决定是否添加这些修改到暂存区,在命令行Stage deletion [y,n,q,a,d,/,?]?后输入y,n,q,a,d,/,?其中一项选择操作方式,具体功能解释如下:
- y:接受修改
- n:忽略修改
- q:退出当前命令
- a:添加修改
- d:放弃修改
- /:通过正则表达式匹配修改内容
- ?:查看帮助信息
git add -u
直接进入交互命令中的 update模式
它会先列出工作区 修改或删除的文件列表,新增的文件不会被显示,在命令行Update>>后输入相应的列表序列号表示选中该项,回车继续选择,如果已选好,直接回车回到命令主界面
git add –ignore-removal .
添加工作区 修改或新增的文件列表,删除的文件不会被添加
git commit
把暂存区的文件提交到本地版本库
git commit -m ‘第一行提交原因’ -m ‘第二行提交原因’
不打开编辑器,直接在命令行中输入多行提交原因
git commit -am ‘提交原因’
将工作区 修改或删除的文件提交到本地版本库,新增的文件不会被提交
git commit –amend -m ‘提交原因’
修改最新一条提交记录的提交原因
git commit -C HEAD
将当前文件改动提交到 HEAD或当前分支的历史 ID
git mv
移动或重命名文件、目录
git mv a.md b.md -f
将 a.md重命名为b.md,同时添加变动到暂存区,加-f参数可以强制重命名,相比用mv a.md b.md命令省去了git add操作
git rm
从工作区和暂存区移除文件
git rm b.md
从工作区和暂存区移除文件 b.md,同时添加变动到暂存区,相比用rm b.md命令省去了git add操作
git rm src/ -r
允许从工作区和暂存区移除目录
git status
git status -s
以简短方式查看工作区和暂存区文件状态,示例如下:
M demo.html
?? test.html
git status –ignored
查看工作区和暂存区文件状态,包括被忽略的文件
操作分支
git branch
查看、创建、删除分支
git branch -a
查看本地版本库和远程版本库上的分支列表
git branch -r
查看远程版本库上的分支列表,加上 -d参数可以删除远程版本库上的分支
git branch -D
分支未提交到本地版本库前强制删除分支
git branch -vv
查看带有最后提交 id、最近提交原因等信息的本地版本库分支列表
git merge
将其它分支合并到当前分支
git merge –squash
将待合并分支上的 commit合并成一个新的commit放入当前分支,适用于待合并分支的提交记录不需要保留的情况
git merge –no-ff
默认情况下,Git执行”快进式合并“(fast-farward merge),会直接将Master分支指向Develop分支,使用–no-ff参数后,会执行正常合并,在Master分支上生成一个新节点,保证版本演进更清晰。
git merge –no-edit
在没有冲突的情况下合并,不想手动编辑提交原因,而是用 Git自动生成的类似Merge branch ‘test’的文字直接提交
git checkout
切换分支
git checkout -b daily/0.0.1
创建 daily/0.0.1分支,同时切换到这个新创建的分支
git checkout HEAD demo.html
从本地版本库的 HEAD(也可以是提交 ID、分支名、Tag 名) 历史中检出demo.html覆盖当前工作区的文件,如果省略HEAD则是从暂存区检出
git checkout –orphan new_branch
这个命令会创建一个全新的,完全没有历史记录的新分支,但当前源分支上所有的最新文件都还在,真是强迫症患者的福音,但这个新分支必须做一次 git commit操作后才会真正成为一个新分支。
git checkout -p other_branch
这个命令主要用来比较两个分支间的差异内容,并提供交互式的界面来选择进一步的操作,这个命令不仅可以比较两个分支间的差异,还可以比较单个文件的差异。
git stash
在 Git的栈中保存当前修改或删除的工作进度,当你在一个分支里做某项功能开发时,接到通知把昨天已经测试完没问题的代码发布到线上,但这时你已经在这个分支里加入了其它未提交的代码,这个时候就可以把这些未提交的代码存到栈里。
git stash
将未提交的文件保存到 Git 栈中
git stash list
查看栈中保存的列表
git stash show stash@{0}
显示栈中其中一条记录
git stash drop stash@{0}
移除栈中其中一条记录
git stash pop
从 Git 栈中检出最新保存的一条记录,并将它从栈中移除
git stash apply stash@{0}
从 Git 栈中检出其中一条记录,但不从栈中移除
git stash branch new_banch
把当前栈中最近一次记录检出并创建一个新分支
git stash clear
清空栈里的所有记录
git stash create
为当前修改或删除的文件创建一个自定义的栈并返回一个 ID,此时并未真正存储到栈里
git stash store xxxxxx
将 create方法里返回的 ID 放到store后面,此时在栈里真正创建了一个记录,但当前修改或删除的文件并未从工作区移除
$ git stash create09eb9a97ad632d0825be1ece361936d1d0bdb5c7$ git stash store 09eb9a97ad632d0825be1ece361936d1d0bdb5c7$ git stash liststash@{0}: Created via “git stash store”.
操作历史
git log
显示提交历史记录
git log -p
显示带提交差异对比的历史记录
git log demo.html
显示 demo.html文件的历史记录
git log –since=“2 weeks ago”
显示 2 周前开始到现在的历史记录,其它时间可以类推
git log –before=“2 weeks ago”
显示截止到 2 周前的历史记录,其它时间可以类推
git log -10
显示最近 10 条历史记录
git log f5f630a..HEAD
显示从提交 ID f5f630a到HEAD之间的记录,HEAD可以为空或其它提交 ID
git log –pretty=oneline
在一行中输出简短的历史记录
git log –pretty=format:“%h”
格式化输出历史记录
Git用各种placeholder来决定各种显示内容,我挑几个常用的显示如下:
- %H: commit hash
- %h: 缩短的 commit hash
- %T: tree hash
- %t: 缩短的 tree hash
- %P: parent hashes
- %p: 缩短的 parent hashes
- %an: 作者名字
- %aN: mailmap 的作者名
- %ae: 作者邮箱
- %ad: 日期 (–date= 制定的格式)
- %ar: 日期, 相对格式(1 day ago)
- %cn: 提交者名字
- %ce: 提交者 email
- %cd: 提交日期 (–date= 制定的格式)
- %cr: 提交日期, 相对格式(1 day ago)
- %d: ref 名称
- %s: commit 信息标题
- %b: commit 信息内容
- %n: 换行
git cherry-pick
合并分支的一条或几条提交记录到当前分支末梢
git cherry-pick 170a305
合并提交 ID 170a305到当前分支末梢
git reset
将当前的分支重设(reset)到指定的 或者HEAD
git reset –mixed
–mixed是不带参数时的默认参数,它退回到某个版本,保留文件内容,回退提交历史
git reset –soft
暂存区和工作区中的内容不作任何改变,仅仅把 HEAD指向
git reset –hard
自从 以来在工作区中的任何改变都被丢弃,并把HEAD指向
git rebase
重新定义分支的版本库状态
git rebase branch_name
合并分支,这跟 merge很像,但还是有本质区别,看下图:
合并过程中可能需要先解决冲突,然后执行 git rebase –continue
git rebase -i HEAD~~
打开文本编辑器,将看到从 HEAD到HEAD~~的提交如下
pick 9a54fd4 添加commit的说明 pick 0d4a808 添加 pull 的说明# Rebase 326fc9f..0d4a808 onto d286baa## Commands:# p, pick = use commit# r, reword = use commit, but edit the commit message# e, edit = use commit, but stop for amending# s, squash = use commit, but meld into previous commit# f, fixup = like “squash


















